Contoh Pengisian Kartu Kendali Akreditasi
Panduan Lengkap Mengisi Kartu Kendali Visitasi Akrediasi. PENGEMBANGAN KARTU KENDALI KEDISIPLINAN SISWA DALAM PENILAIAN SIKAP PADA KELAS III SD NEGERI TAMBAKAJI 02 SEMARANG SKRIPSI Ditulis sebagai salah satu syarat untuk memperoleh gelar Sarjana Pendidikan.

Contoh Berita Acara Visitasi Akreditasi Contoh Surat
Mengadakan temu awal - Menyampaian tujuan visitasi sekolahmadrasah menetapakn cara teknik visitasi menetapakan respoden nara sumber Menyerahkan kartu kendali validasi proses visitasi kepada sekolahmadrasah.

Contoh pengisian kartu kendali akreditasi. Contoh logo masjid untuk kop surat. Untuk sekolah atau madrasah yang langsung bisa buka menu kartu kendali pasti sudah dipastikan tidak kebingungan dalam pengisian kartu kendali. Format Kartu Kendali Validasi Proses Visitasi di bawah ini mohon di print oleh asesor sebanyak 16 set sesuai kebutuhanjumlah sasaran visitasi.
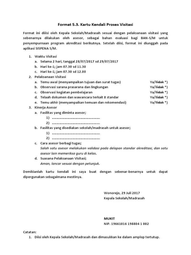
Format ini diisi oleh kepala sekolahmadrasah sesuai dengan pelaksanaan visitasi yang sebenarnya dilakukan oleh asesor sebagai bahan evaluasi bagi BAN-SM untuk penyempurnaan program akreditasi berikutnya. Download Format Kartu Kendali Proses Visitasi Akreditasi Sekolah. Cara upload kartu kendali akreditasi sispena hanya dilakukan bila sekolah tersebut telah mendapat penilian dari asesor apakah nilai akreditasi bertambah atau.
Itulah berbagi dan Share File Contoh Format Kartu Kedali Visitasi Akreditasi DOCX. Selanjutnya sekolah mengklik Menu Data Isian Akreditasi atau DIA yang ada disamping kiri untuk memulai proses penginputan isian akreditasi. Perlu di ingat bahwa kartu ini hanya sekali dan tak bisa di rubah jadi pastikan data sudah benar-benar sesuai.
Pengumuman Hasil Akriditasi Tahap 1 2 3 dan 4 Tahun 2019. Contoh kartu kendali surat masuk dan keluar. Cara Mudah Membuka Kartu Kendali Sispena Yang Masih Terkunci.
Semoga bisa menjadi solusi dalam pencarian dan kelengkapan Administrasi Akreditasi di Sekolah Madrasah. Kartu Kendali Proses Visitasi. Terdapat beberapa menu pada isian akreditasi diantaranya.
Selanjutnya Kartu Kendali discandipindai atau diphoto lalu diunggah ke Sispena-SM dengan mengklik Choose File kemudian pilih file hasil scanphoto kartu kendali selanjutnya klik tombol. Contoh Format Lembar Pengantar Surat Biasa. Contoh Kartu Kendali Surat Masuk.
Alamat Sispena SD SMP SMA dan SMK sampai saat ini belum bisa diakses. Cara Mengisi Kartu Kendali Akreditasi di Sispena 2019 - Duration. Contoh Kartu Kendali Surat Masuk Dan Keluar Bagi Contoh Surat.
ShareShare on FacebookTweet on Twitter. Contoh kop surat klub sepak bola. Alamat Simulasi SISPENA SMA.
Alamat Simulasi SISPENA SMP. Contoh kop surat dharma wanita persatuan. Tabel 413 Penilaian Kualitas Isi Kartu Kendali Oleh Guru Kelas.
Alamat Simulasi SISPENA SD. Musang Musang Gamers 3784 views. Contoh Kartu Kendali Mia Ali Academia Edu.
Http Digilib Polban Ac Id Files Disk1 83 Jbptppolban Gdl Dheanyyuni 4132 2. Alamat Sispena PAUD dan PNF. 92 xiii Tabel 414 Penilaian Kualitas Instruksional Kartu Kendali Oleh.
Pernyataan Kepala SekolahMadrasah Pemutakhiran data Prasyarat Akreditasi Data Isian Akreditasi dan Kartu Kendali. Untuk mencetak kartu kendali klik tombol Cetak lalu kartu kendali di tanda tangani oleh kepala sekolahmadrasah dan distempel. Melakukan observasi lingkungan sekolah - Mengamati fasilitasi sekolah baik kuantitas maupun kualitasnya mencatat hasil pengamatan.
Contoh kop surat yang baik dan benar. Langkah terakhir ini sangat Penting. Sekolah harus menginput kartu kendali setelah proses visitasi akreditasi oleh asesor selesai dilaksanakan.
Download POS Akriditasi 2019. Alamat Simulasi SISPENA SMK. OPERATOR SEKOLAH- Oktober 07 2018- 1 Comment.
Selanjutnya tiap-tiap sekolah madrasah sasaran visitasi diberi 2 eksemplar untuk diisi tanda tangan dan dibubuhi stempel oleh kepala Sekolah Madrasah. Contoh lembar disposisi surat masuk sekolah. Contoh kop surat lamaran kerja yang baik dan benar.
Langkah terakhir merupakan langkah yang sangat penting yaitu sekolahmadrasah harus menginput kartu kendali yang diperoleh setelah proses visitasi akreditasi oleh asesor selesai dilaksanakan Untuk mengetahui lebih jelasnya terkait Panduan Pengisian Aplikasi Sispena silahkan anda pelajari Disini. Contoh kop surat lamaran kerja di amplop. Pengertian kartu kendali Kartu kendali adalah Lembar isian yang digunakan untuk pencatatan penyampaian dan penyimpanan surat yang sifatnya penting sehingga bila surat diperlukan dapat dengan mudah ditemukan kembali.
Panduan Mengisi Kartu Kendali Sispena Pasca Visitasi Cute766

Format Kartu Kedali Visitasi Akreditasi Kepala Sekolah Aplikasi Belajar

Format Kartu Kendali Proses Visitasi Akreditasi Sekolah Blog Akreditasi Sekolah
Format 5 3 Pengisian Kartu Kendali
Form Isian D 1 1 Tentang Penciptaan Arsip Anita S Personal Blog

Contoh Berita Acara Visitasi Akreditasi Contoh Surat

Format Kartu Kendali Proses Visitasi Akreditasi Sekolah Blog Akreditasi Sekolah
Posting Komentar untuk "Contoh Pengisian Kartu Kendali Akreditasi"